气动凿岩机研发中“无阀”的继承、改进与创新
岁月无情人有情。今年是我服从需要参与筹办湘潭风动机械厂,肩负气动凿岩机上马重任50周年,感慨万千,兹赋小诗一首为念:
奔南闯北虽殊荣,不识其间有深功。五十年来如一日,只缘心系此机中。
我虽已退休多年,但仍把研究气动凿岩机技术作为终身的理想和乐趣。由于老伴身体原因,我只能边照料边学习、工作,还想利用晚年的余热回报社会。我对凿岩机的感情颇深,正因如此,我既未打回老家(广东)去,亦未返回原高校工作。没有想到,我自当年受命研发“无阀”,一干就是五十年,至今仍未停歇。其间,在八、九十年代交替时节,前后约有五年时间,还担当完成了国家“八五”科技重点攻关课题——导轨式液压凿岩机,促进“气动凿岩机-液压凿岩机”互动,加上后来“有阀-无阀”、“气动凿岩机-水压凿岩机”互动,对我设计理念的转变与技术攻关都有所帮助。
1969年前后,正是文革期间,气动凿岩机产品规格杂、质量差,国家采取了一系列措施。1972年3月到7月我参加国家计委与一机部组织的全国凿岩机质量调查组赴全国19省(市)50多个矿山单位进行调访,紧接着便举行行业第一次质量集中检查,8月至10月参加北京大安山矿举行的全国气腿式凿岩机(简称气动凿岩机)集中工业性试验(俗称“行业大比武”),12月工程机械行业会议在湘潭市召开,宣布气动凿岩机产品定型的决定。1975年推出了第一个部标准:《气腿式凿岩机型式、基本参数与技术条件》(JB1674-1675-75),此后开始标准的贯彻、落实与开展产品创优、经验交流等一系列行业活动。这些活动我都有幸亲历了。这些活动对行业产品质量有较大的促进与提高,我个人也得到了锻炼和充实。我还记得当年受访的辽宁华铜铜矿的代表提出了凿岩机产品技术上深层次的问题(如润滑、油雾和断钎等)。“无阀”在国内起步较晚,产品定型后,经过第一个十年全厂职工的共同努力,受到用户的欢迎。同行业龙头厂一样,1983年YTP26荣获其中一块国优产品“银质奖”(俗称“银牌”)。在银牌之后数十年,我把经典力学与现代波动力学相结合应用于气动凿岩机研发中,致力于无阀配气的深化、挖潜,并作了一些大胆的尝试。在市高新区6年完成了其中一部分,如YT26A、YT26W等。有些成功了,有的暂未成功,但有希望。2006年后,我先后获得两个产品的发明专利,2010年经国家“双创”中心评定列为国家重点扶植推广项目,并荣获国家首批创新基金70万元。但由于种种复杂原因,致使国家扶植未落到实处。项目虽好,转化成生产力却难!难在哪?关键在于合作双方思想认识差距大、目标不一致。经多年积淀后,我仍有技术自信,反思当年的方案是可行的。接着又与北方某公司合作,比较顺利地完成了新产品样机试制和工业试验任务,得到用户好评与喜爱。初步完成了产品的升级、转型。
为了补短,重新复核和计算压气在气室内的流动与状态变化等,在髦耋之年,我又重新学习多种计算机算法语��与编程,终于把我历经数十年来研发的气动无阀凿岩机的电算摸拟程序在原来基础上完善了。我的电算摸拟是在吸取国内外前辈精华的基础上博采众长的思想指导下完成的。气腿式凿岩系统电算模拟主要包含七个方面:应用活塞运动方程;应用理想气体状态方程;应用气体流动质量流量方程;应用能量平衡方程;应用非完全弹性体机械碰撞,引入回弹、接触、瞬停等理念;应用波动力学原理,通过活塞(几何形状)设计调控输出冲击应力波形;摸拟计算中采用新的国家标准。例如耗气量:(1)按新国标,20℃时标准大气压下气体重度为1.205kg/m³(旧标准中该数值为1.293kg/m³);(2)耗气量是指排出到大气中的气量,不宜以进气量代替,两者有较大差别。尤其值得注意的是,国家标准规定:气腿式凿岩机的冲击能是在无扭矩条件下用应力波法测定的,而其它技术参数(如冲击频率、耗气量等)则是在凿岩条件下测定的。也就是说,两种工况是完全不同的。对气腿式凿岩机,这点很特殊,很容易被忽视,应分开处理。采用什么方法去模拟两种工况?经过多年探索,似已找到一点途径,现正在作更多的验证。
上述电算模拟主要内容后面几点是笔者结合实际补充、完善的。
当无阀凿岩系统电算模拟框架基本确定,本着继承与改进、创新相结合的理念,针对实践中提出的问题改进、丰富,主要体现在无阀配气、扩大功能与基础件攻关、改进等方面。为搞好产品研发,数十年如一日,在理论与实践结合上获得了初步成效。笔者的主要工作与收获可概括为一句话,即三调控、一改型、三改进、一创新。
1 “三调控”理念
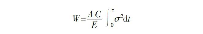
第一控,是精心设计活塞的几何形状,调控输出冲击应力波(入射)波形与控制最大应力值。第二控,是调控凿岩机“内排气”与“外排气”的相对合理位置。第三控,是应用波动力学原理,降低冲击背压,释放冲击能。由波动力学基本原理可知,细长杆具有优化的波形,或者说:无阀活塞具有类似细长杆的效应。应力波具有的能量W可由下式确定

式中σ——应力波振幅
τ——应力波持续时间
A——钎杆截面积
C——应力波在钎杆中的传播速度
E——钎杆的弹性模量
由上式可见,应力波的能量取决于应力波振幅σ与持续时间τ,即取决于应力波图形。
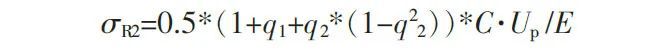
无阀活塞,由于其尾杆直径小,且中圆柱长度(LH)也较短,其入射应力波形与双圆柱活塞相似,也是一阶梯波,由计算分析和实测可知,一般情况二阶应力波具有最大值σR2。且有

Ls——活塞柄杆长
C——波速
最大应力值

q2、q1——双圆柱(三圆柱)活塞柄部-头部界面、活塞柄部-钎杆界面的反射系数
Up——活塞对钎杆撞击速度
q1、q2大小与对应的活塞柄部、头部截面积A1、A2相关。
按理说无阀的头部(中圆)较大,为何σR2反而小?问题的关键是由于活塞头部具有特殊的结构与几何形状(呈“薄壳”形)。由于无阀活塞柄杆长、头部空槽大(波阻小),则τ↑、σR2↓,因此无阀活塞可以通过精心设计获得较好的应力波形。上世纪80年代中南工大赖教授曾委托我设计制造了12件无阀凿岩机的活塞,并在实验室做过模拟实验,验证了活塞的不同几何形状会影响输出冲击应力波能量。1972年全国气腿式凿岩机行业集中在北京大安山矿进行工业性对比试验,目标是累计进尺2000米,结果湘潭风动厂(首先完成2504.07m)、天水风动(2395.35m)、沈风风动(2257m),分获1、2、3名。从当时公布的一些记录数据看,其中断钎数:湘潭(无阀)7根、衢机(无阀)5根、天水66根、沈风73根。无阀凿岩机的断钎数是有阀凿岩机的1/10。何解?我认为与活塞输出冲击应力波有一定关系。又如,在2007年2月,我们在湖南新龙矿业公司作新产品YT26W试验,操作工人反映比YT28(天水产品)快一点,而且不易断钎。这点在实际使用中与用户的普遍反映是一致的。钎具损耗少是无阀凿岩机具有的显著优势之一,应得到继承和发扬!
气动凿岩机产品应力波最大应力值(天水所测试)情况,见表1。

说明:1.带“*”号的为长沙矿院测试,其余为天水所于1983、1990年产品创国优时统一测试。
2.凿速:除国外样机外,国内创优产品皆为平均值。
一般“内排”比“外排”要超前些,这对凿岩机排除机内杂质、改善润滑、降温散热等是有利的,但若超前过多则有碍压气膨胀,削弱了冲击能。我对YTP26作了改进,提高凿速(平均)约14%。我在某公司研发的YT26A等就是应用“二控”理念设计的。据用户反映,改进设计很成功。它比YTP26好,主要特点是劲大、凿速快。
由电算模拟计算可知在0.5MPa时由“三控”理念可提高冲击能约10.4%。
由于在“三控”理念下实施改进,设计出的新型样机不但缸径小(φ90)、振动小而且冲击能提高的幅度却比较大。例如,在P=0.5MPa时,原YTP26冲击能E=66.37(模拟值),实测68.40J;现YT28W冲击能E=84.57J(摸拟值)。τ=72微秒,σR2=262.83MPa。
YT28W在凿岩工况下技术参数见表2,YT28W用应力波法测定的技术参数见表3。


由上可见“三控”的调控目标实质是在一定的频率范围内实现冲击能最优(波形峰值低)。
2 “一转型”、“三改进”是对主要技术参数与基础件攻关方面的改进,已取得初步成效
2.1 “一转型”是对产品型式改进转型,经历了三个过程
YTP26→YT25DY→YT28W。由“高频”转为“中频”,再升级转型为“节能、无油雾、低耗”型。YTP26是高频机,其特点是:(A)高效,凿速快、扭矩大;(B)节能、省气,利用压气膨胀作功,凿岩经济性优化;(C)结构简单,使用、维修方便。在二十世纪中后期,YTP26等“无阀”机在煤矿基建(特别是“快速掘进”)中具有较大影响,但频率偏高、振动大是主要缺点,且对某些零件(如青铜件)材质、工艺要求较高。在取得“银牌”之后,我们首先针对YTP26频率偏高、振动大等问题,采取了综合整改措施,并与长沙矿冶研究院合作研发出YT25DY凿岩机,降频减振效果显著,工人可操作性明显改善。我们与长沙矿冶院、北京航天工业部702所对四种凿岩机主机手把加速度作了测定,结果见表4。

YT25DY(中频)机用户使用结果反馈与测试情况是相符的,得到好评与欢迎,但还有一些不足之处,如“转动套与钎套合一”的结构设计,用户不乐于接受。
随着社会的发展与进步,特别是国家提出建设“两型”社会的要求,产品要与时俱进。同时我们对凿岩机技术的认识亦不断深入,于是对原有无阀凿岩机已不满足。我们先后以两个产品(YTP26-高频、YT25DY-中频)为抓手进行改进。缸径φ95:YTP26→YT26A→YT26W;缸径φ90:YT25DY→YT28W。首先以YTP26为基础,改进分两步进行:(一)以“降频”和优化配气为手段,达到更节能、增效,提高凿速,研发出的YT26A深受用户欢迎,使用人员一致认为改进很成功,主要特点是劲大了,凿速快了。每个班下来凿孔进尺都高于YTP26。(二)在此基础上,进一步扩大功能,如改变润滑方式,把油气分开,实现排气无油雾,研发出节能、无油雾的YT26W气动凿岩机,获得了第一个发明专利的授权。对于气动凿岩机,这是国内外前所未有的。工人第一次使用,感觉很新鲜:环境清爽、从头到脚都很干净;耗油少,每班作业不需再加油,加上“无阀”原本具有凿速快、断钎少的优点,工人都争抢着用。
不过这里有个前提,就是开始要有人稍加指导。但后来一扩大,结果就不圆满了。主要缺失是新产品开发太急于求成,只有销售却无售后服务。首次一大批产品出来,用户不会用。幸好,我们在设计上采取了“可逆式两用”的方案。为了推广,经认真反思,吸取教训,后来在此基础上又与另一家合作,继续研发节能、无油雾、低耗型产品。其特点是:(1)目标函数:在F=35~40Hz条件下Ep→max,且波形好;(2)缸径减小;(3)前、后油室独设(不连通),分别加油;(4)油量调控,可调与定量或两相结合。YT28W在工业试验中深受矿工欢迎与喜爱。至此“无阀”气动凿岩机的优点在凿速快,节能、省气,结构简单、维修方便的基础上又增加了几点:冲击应力波形好,最大冲击应力值较小,对钎具耗损较少;活塞后支承摩擦副可转移(尾杆),使中圆悬空,实现排气无油雾。
2.2 “三改进”主要是对基础件的攻关改进
2.2.1 活塞
活塞是气动凿岩机的关键件。
改进要点:(1)在配气上进行三项优化。(2)对低碳合金钢活塞使用寿命进行攻关。在热处理上重点提高心部强度,适当调整表面硬度,重视控制碳浓度;同时针对类似细长杆的特点在热处理过程中,尤其在渗碳工序中控制其弯曲变形(全长跳动≤0.3mm)。材质有普通与高精两种。用普通材质,比较经济实惠,质量稳定,平均使用寿命为四千多钻米。(3)“液压凿岩机-气动凿岩机”互动,实施“八五”技术攻关“类移植”。九十年代初,我们在完成国家“八五”重点科技攻关项目(液压凿岩机)中,选取CrNiMo系低碳高合金钢制造冲击活塞,虽然热处理工艺技术要点大致同上,但有些工序难于达到预期目标。在参阅国内外有关技术资料的基础上,多次摸索试验后终于确定了较优的工艺方案。把冲击活塞的试制件与国外样品作了全面剖析对比,除心部硬度梯度一项(受设备条件所限)不如国外样品外,其余皆达到同等水平。在装机试验中使用寿命达到2.5万多钻米(仍比较完好),得到专家的好评。后来,我们在气动凿岩机上也作过攻关技术“类移植”试验。考虑到原材料供应和经济成本,尚未推广。
2.2.2 导套
国内外气动凿岩机、液压凿岩机都有这个基础零件。其主要功能是支承、导向与密封,对于气动凿岩机还有控制“内排气”合理位置的作用。导套的结构形状虽比较简单,而它的内径、外径尺寸精度、形位公差却要求较高。特别是压装到导向体后内孔变形、与活塞作相对摩���运动热胀变形难于掌控,因此,对摩擦副的间隙难调控:既要保证性能,具有一定的气密作用,又要保持其相对运动,不发生咬合。这不只单纯取决于内径、外径尺寸问题,还涉及到选材问题。国内外的气动凿岩机、液压凿岩机的导套材质主要有两种:一种是钢制的,另一种是青铜件(国外大都是高锡青铜)。八十年代中期在中南大学举行的一次中外专家技术交流会上,一位美国专家说过,整体青铜套对于凿岩机来说并不是很理想的,理由是青铜的热胀系数大,预留初始间隙大。青铜易损件,我认为最难之处还在于用户使用更换后间隙更难掌控,对性能影响大。为了解决此问题,人们一直在追求、探索着。数十年来我曾先后对不同材质和多种结构型式的导套作过试验,结果各有利弊,不尽人意。后来,我提出“钢套+复合处理(减摩层深度0.08~0.12mm)”的技术新方案。经过工业试验验证,使用成效比较显著。特点是:(1)磨损极小,经过两千多钻米后还不易检测出磨损来;(2)内孔表面润滑充分(实现混合双润滑);(3)内孔表面光滑照人,无研伤、咬合痕迹;(4)由有关青铜与渗碳钢孔相对活塞摩擦副对比试验得知,其径向磨损量约为5:1,因此,本件不再是易损件了,而且使用寿命可以实现以1顶4。既节约资源又降低经济成本,还有效提高了产品质量。初步看来,本方案较为圆满,有可取之处,对凿岩机行业具有一些现实意义。
2.2.3 青铜件
螺旋母(花键套)。之所以把两件列为同一类,是因为经过几十年的实际观测,它们的磨损与失效情况差别不大(这与“有阀”的螺旋母有差别)。从1969年起,我在生产中遇到的第一个难题就是它,此后数十年我便一直在琢磨这个棘手的问题。依传统习惯国外大都选用高锡青铜,国内(可能当年受原苏联影响)都选用锡磷青铜(QSn7-0.2)。我认为前者虽好,但当时国内市场无供应,而且经济成本高;后者含磷,不但对其成分、含量要求高(更不能偏析),尤其对冷作(冷拔)再结晶退火工艺要求严格,否则易生(磷共晶)裂纹源发生断裂。我们老厂也搞过多年攻关,特别为了“银牌”产品保质量,下过不少功夫。虽有提高,但工艺质量难稳定,代价太大,经济成本高。而过去生产铜材的洛铜、沈铜φ40mm以上的冷拔棒材不生产,只按行业标准(HB≤70)供货。更何况这些驰名老厂早已转产多年!从实际出发,不能不另选材了。在八十年代末,恰巧我们在国家“八五”科技重点攻关项目中用无锡青铜作液压凿岩机的钎尾花键套,使用效果不错,未出现裂纹,使用寿命最低的也在1.5万钻米,折合到气动凿岩机零件(花键套)失效极限使用寿命约为六七千钻米(这是依据之一)。于是选用它作为螺旋母的材料,考虑实际情况,攻关第一步把材料(零件)硬度初定为中硬(HB=150)。在2010年批量投入前先后做过两次工业性试验,平均使用寿命分别为2160和2643钻米。从投入使用的约2千多件来看,用户反映正常。可喜的是该材质在使用中从未出现裂纹和开裂现象,这与原QSn7-0.2相比有很大改变,裂纹、断裂问题得到了基本解决。至于进一步提高强硬度问题,可通过热处理调控实现(这是依据之二)。由于攻关触动了供应链上的利益,遭到了某些人的抵制和干扰,使我(全自费攻关)损失不小。得到宽慰的是攻关第一步目标——零件不裂、不断,具有一定的耐磨性还是达到了。下一步攻关目标是在此基础上提高使用寿命。当时的设想是通过调整工艺提高零件的强度、硬度(达到“八五”攻关水平),本有望实现,后来情况发生变化,后续攻关暂停。我回忆早年(八十年代)曾经对螺旋摩擦副作过研讨、探索,气动凿岩机属冲击回转类产品,根据刚体转动力学与达朗贝尔原理,在回转运动中会引起质量增量和质量增大系数,它与摩擦副材质密切相关,且直接影响产品性能。因此,在确定下一步攻关目标时,应把摩擦系数最小纳入优选考虑之列。经检索发现,恰有一种强度高、减摩性好的材料是目前国内高锡耐磨青铜的代用品。后续的攻关升级目标是改善性能、稳定提高使用寿命、有效降低经济成本。可以预计,长期以来困扰市场的问题,有望获得解决。
3 实现排气无油雾
“一创新”是改变润滑方式,把传统的“油气混合”变为油气分开,油不进入气缸体,实现排气无油雾,使产品转变为“节能、环保”型。
为什么要改变传统的润滑方式实现排气无油雾?根据有以下五点:
(1)是建设“两型”社会的需要,是环保与生态文明的要求;
(2)国外金属矿山对空气中含油量有比较严格的要求,并制定了标准,规定为5mg/m³;
(3)不少国内外专家、学者认为传统的润滑方式(油气混合)不但污染环境且有浪费资源之嫌(有的几乎快把润滑油充当动力介质了);
(4)实践证明,排气无油雾对作业施工质量、安全、劳动保护都有利;
(5)是国内矿山、工程作业工人的迫切要求与强烈呼声。
排气无油雾有以下特色:
(1)把气缸(体)设置为无油区,气缸不进油,排气无油雾,并由此带来一系列变革(优越性);
(2)耗油量大大减少,可节省3/4~4/5;
(3)取消了注油器(只需利用零件空间设储油室);
(4)作业班中一般不需再加油;万一要加油,也只停机不停气,简便多了。
(5)对作业施工的质量、安全、劳动保护都有利;
(6)气缸孔表面无摩擦、不磨损。
应注意把握好三个环节:
(1)从设计、制造上提供活塞尾杆正常(又不过量)的润滑是前提、是关键,其中还有一个难点是对油量的掌控和超微小孔加工问题,我们是在北京外协解决的。一般前、后油室有效容积为60~70,25~30毫升为宜;前、后油室的节流超微小孔为0.15~0.2与0.1mm左右;
(2)做好班前的三处加油(除前、后油室外,在装接气管时,不要忘了往进气弯管注入少许油,约十多毫升);
(3)判别是否缺油的方法要作相应改变:应把手掌置于机头前。
本产品除了节能省气外,还可节省大量润滑油、省去注油器、易损件少、钎具损耗较少。为此我申报的第2个发明专利是“无油雾、节能、低耗”型气腿式凿岩机,2016年7月经国家批准授权,专利号:201410181797.X。
上述技术原理亦适用于其它无阀配气型气动凿岩机。